首页
产品中心
油浸式变压器
干式变压器
储能变电站
E-house
移动式变电站
成功案例
认证体系
关于我们
公司概况
联系我们
简体中文
简体中文
English
EN
成功案例
首页
/
成功案例
FSGT(
HK)
Limited
International Reco
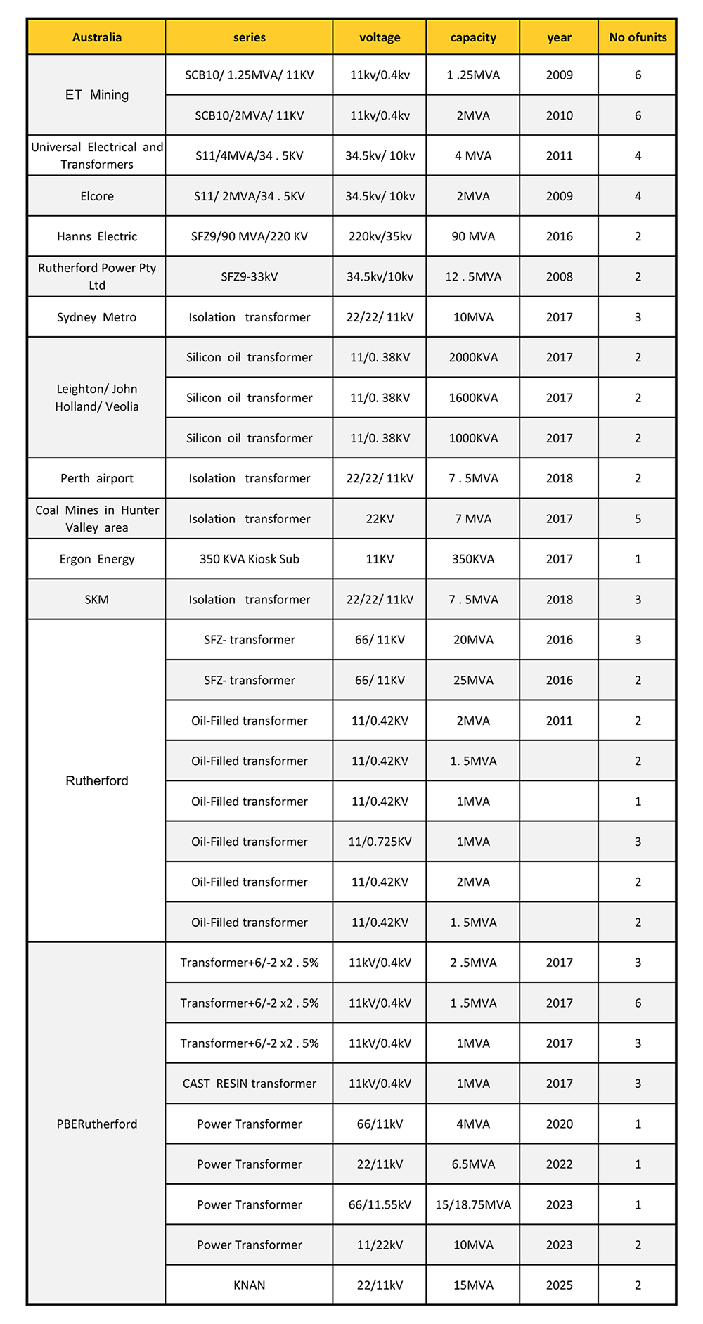
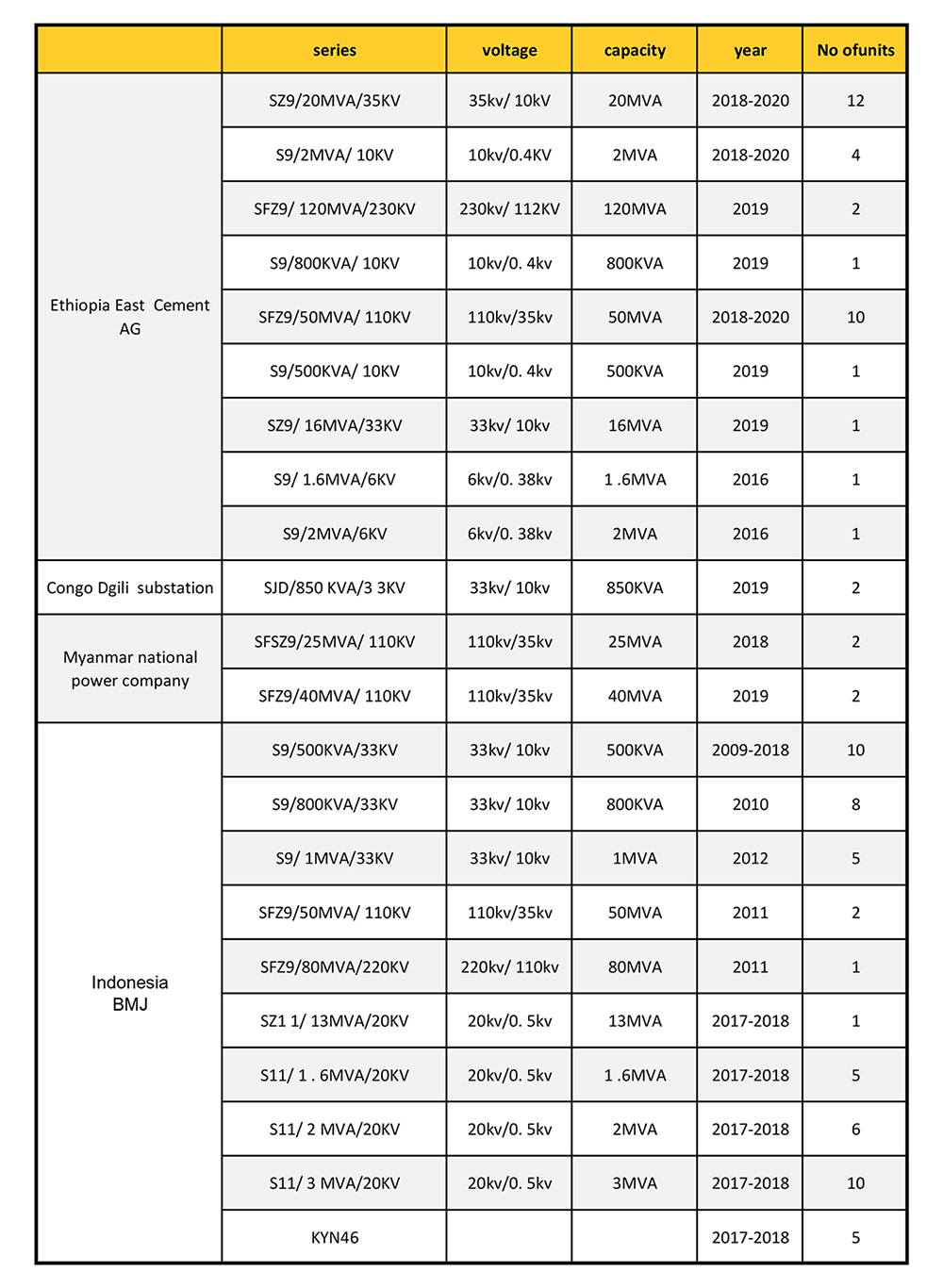
State Grid Corporation of China Record Partial performance
留言咨询
提交